
Brian Khor will read Physics in the University of Oxford – the city of dreaming spires.
Read Part 1 of this story here.
Interviews
The Specific Details of my Interviews
1st Oxford Physics Skype Interview (Conducted by Physics tutors from University College, Oxford)
I applied to University College (informally known as ‘Univ’) at the University of Oxford. And as part of Oxford Physics Department admission process, I was interviewed twice, once by Univ and another interview by a second randomly assigned college (for my case, Pembroke College). Unlike the University of Cambridge (where interviews can be conducted in Malaysia or in Cambridge itself), Malaysian applicants to Oxford can only choose to either fly there for the interviews, or have their interviews through Skype. I opted for Skype interviews. My Univ interview lasted for about 45 minutes, and revolved around interesting problems and phenomena about Physics and Mathematics.

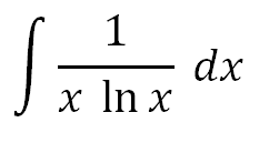
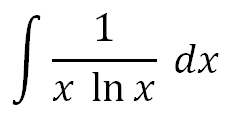
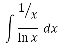
After receiving this math problem, I thought of the standard substitution method, and told my interviewers about how it works. Unfortunately, while working through the question using the substitution method, I realized that the steps were longer than expected. Out of my curiosity, I asked my interviewers for hints whether there were other approaches to this problem, and I was shocked at how elegant and simple my interviewers would have otherwise solved it. Here’s the hint (spoiler alert for people who is trying to solve this!):

In case you haven’t realized it, the integrand (which is the thing you’re supposed to integrate) simply has (1/x) as the numerator, and the differentiated form of (1/x) which is (ln x) as denominator. When you have integrands in the form of f’(x) / f(x), the integral (result of integration) will be ln ( f(x) ). Don’t worry if you don’t quite get this. It is actually in the Cambridge A Level A2 Maths syllabus.
After several Maths problems, the interviewers moved on to a Physics phenomenon: moving charge in a magnetic field. The interviewers didn’t just ask about the issues and problems that could be found in the A-Level syllabus; they went beyond and tested me on how much I could adapt and solve the unknown. The interviewers started with the standard A Level magnetic field case, where the moving charge is moving perpendicularly to the magnetic field, in a circular pattern. Then they moved on to moving charges moving at an angle (not perpendicular as in the first case) inside a uniform magnetic field. It’s not covered in the A-Level syllabus but if you break down the velocity into its horizontal and vertical components, you will realise that the component perpendicular to the field will move in a circular motion while the parallel component will move with constant velocity, which results in a helical motion. Then came the tough bit, the last interview question that I spent almost 10 minutes struggling to understand:

The problem was about predicting the motion of positive moving charges coming at an angle inside a converging field. In the previous 2 cases, I only dealt with uniform magnetic field, and now I was asked about what would happen to the motion and trajectory of a moving charge coming at an angle to a converging magnetic field (see pic above). This was a rather strange physical phenomenon where I had never thought about it before and found it interesting to speculate the motion of the moving charge. First, I stated that the magnetic field strength is increasing (since the field is converging) but I struggled (in a rather unfruitful direction) for the first five minutes on this problem. Finally, I asked for a hint, and it’s this one hint, that led the way to understand and solve this problem. The hint was: The Lorentz force acting on the positive moving charge, in real mathematical form, is the cross product of qv and B ( F = qv x B). While this hint was obvious to me, I never thought that it would be useful in handling this problem. Then, I came out with a sketch of my solution while explaining verbally what was going on (see pic below):

This is on why the hint was useful: 
As you can see, the cross product will change the component of the velocity perpendicular to the magnetic field, and since the field strength is increasing, it will “attract” the vector of the velocity towards its perpendicular component. But the cross product constraint will require the magnitude of the velocity to stay the same and hence it results in a rather weird helical motion which will eventually result in a circular path that stops going forward. See following 2 paragraphs for further explanation. 
- As the converging magnetic field implies that the magnetic force (which acts in the direction perpendicular to both magnetic field lines and velocity) is increasing, this will thus increase the Lorentz force on the component of velocity perpendicular to the field lines. The direction of Lorentz force (which is always perpendicular to velocity) will have some complicated change in direction due to the change in velocity and increase in magnitude of the force, so I will not show the details here but just the big picture. This perpendicular Lorentz force is like centripetal force acting perpendicularly on velocity – stronger centripetal force will cause the moving charge to move in a spiral. This is because stronger force leads to higher acceleration, which leads to greater change in the perpendicular component of velocity.
- If the spiral motion was in only 2-D, the magnitude of velocity increases due to increasing centripetal force (centripetal acceleration = rw2, so while circular radius, r, decreases, w needs to increase more than r in order to account for increasing centripetal acceleration. This leads to increase in perpendicular component of the motion of charged particle in converging magnetic field). But in this case which is 3-D, the Lorentz force is cross product of velocity and field line, plus, magnitude of speed needs to be constant. In order to accommodate the increasing perpendicular velocity component, the horizontal component of velocity needs to be reduced to keep the magnitude constant.
I spent around 10 minutes speaking out my thought process, assumptions and reasoning to the interviewers on this problem and realized that I enjoyed the experience and learnt new physics along the way! (For those who are interested to further understand the mathematical details of this phenomenon, it’s called Magnetic Mirror and you can find out more by googling.)
2nd Oxford Physics Skype Interview (conducted by Physics tutors from Pembroke College, Oxford)
My 2nd Skype interview was held 2 days after my first interview. In comparison with my first interview, I would say that this interview was much ‘quirkier’ in a sense that the questions were rather open-ended and required general mathematical aptitude rather than specific mathematical techniques. Of course, in this section, I’ve handpicked interesting problems as well to present my interview experience. Here’s one of the weirdest interview questions:

At first, this problem appeared to be too broad and I thought of too many approaches (that didn’t work out that well, somehow). I didn’t know where to get myself started so I made some assumptions. I clarified that the sunlight shines at some small angle to London while it’s directly above Paris and assumed that the distance between the city is just a tiny minor arc of the earth surface (and can be approximated as a straight line) and the interviewers immediately corrected me on these 2 faulty assumptions. So, my corrected assumptions are as below:
- Sunlight is assumed to come in parallel straight line
- Earth is perfectly spherical and 2 cities are located at 2 points on the minor arc (see pic below)

After being corrected on my assumptions, I was immediately enlightened about the right approach to this problem. By utilizing the general geometry principles about parallel line, I could work out the length of the arc (which is the distance between London and Paris).

This is a big problem with 4 sub problems, but I have only selected the interesting pieces to discuss here (2 of the 4 sub problems). While I was unsure about the term ‘Flux’ in the context of the problems, the interviewers clarified it and in a more mathematical language, it was simply the rate of change of volume (flow rate). After clarifying the word ‘flux’, I went on to solve this problem by modeling it using differential equation. In case you are interested in how h(t) can be obtained, here’s the solution:

Integrating it:
After solving it, I immediately realized that it was a negative exponential function and went on to solve the 2 subsequent sub-problems during the interview. The interviewers’ final question (arguably one of the toughest) was:

I was asked to sketch the height of water against time for the 2nd jar. While I struggled to imagine the general picture of the curve, the interviewer once again enlightened me by asking me 2 questions:
- What happened to the beginning of the curve and how it should look like?
- When almost all water from the 1st Jar has been transferred to the 2nd jar, how should the water level on the 2nd jar drop?
For the first part, I figured out that it would look almost like some sort of increasing exponential shape and for the second part I figured that it would look almost like a negative exponential graph (not exactly because while water is filling up the 2nd jar, water is flowing out at the same time so the exact curve shape and equation will be different) and here’s my sketch (of course, my assumption was that when water level is falling exponentially it will come to a point where it can be approximated as 0):

After sketching the graph, 30 minutes had passed and the interviewer ended the interview. In general, I love the kind of intellectual conversation going on in both interviews and I couldn’t wait to see myself engage in this kind of conversation in my next 3 to 4 years in the Oxford tutorial system. These problems, once again, broadened my problem solving perspective and I must say that I love it.
Conclusion
I will advise and say that the best form of preparations to get into Oxford are:
- Not being afraid to explore and think about new ideas and issues
- Learn to communicate clearly and clarify your thoughts during the interview
- Mostly important, apply to the course you’re really passionate about! As the famous saying goes “Love what you do, or leave.” I believe this doesn’t apply just to scientists but also to all of us in general.
And, all the best! Give yourself a try, and you might not know some of your best efforts will pay off. Links which you may find useful:
- Integrating f’(x) / f(x) types: http://www.youtube.com/watch?v=1j2rwuz909o
- Magnetic Lorentz force: http://hyperphysics.phy-astr.gsu.edu/hbase/magnetic/magfor.html
- Motion of moving charge in a magnetic field: http://www.youtube.com/watch?v=slmV2IlluAM
- Differential equations & exponential function: http://www.mathsrevision.net/advanced-level-maths-revision/pure-maths/calculus/differential-equations
Brian Khor Jia Jiunn, a National Scholarship holder and an aspiring physicist is one step to achieving his dreams by pursuing Physics in the University of Oxford (did you know that Stephen Hawking was from Oxford too?). With his immeasurable passion, he will definitely go far in the field and be part of ground-breaking findings.


2 thoughts on “My Journey to Oxford (Part 2)”